石碧院士团队科研动向 | 皮革化学品生命周期评价:研究进展和未来展望
点击数:7412025-07-29 09:21:42 来源: 皮革科学与工程

(1. 皮革化学与工程教育部重点实验室(四川大学),四川 成都 610065;2. 四川大学轻工科学与工程学院,四川 成都 610065;3. 四川德赛尔新材料科技有限公司,四川 德阳 618000)
引用:施京浩,余跃,曾运航,等.皮革化学品生命周期评价:研究进展和未来展望[J].皮革科学与工程,2025,35(3):32-39,61.
SHI J H, YU Y, ZENG Y H, et al. Life cycle assessment of leather chemicals: recent advances and future perspectives[J]. Leather Sci Eng, 2025, 35(3):32-39,61. (in Chinese)
DOI:10.12472/j.issn.1004-7964.202500042
摘 要
建立数据可信、可追溯且国际互认的皮革化学品生命周期评价(LCA)本土数据库对于准确核算我国皮革产品的潜在环境影响至关重要。文章系统分析了国内外皮革化学品的LCA研究案例及相关数据库现状,制定了皮革化学品LCA本土数据库的建设规划,并提出了适用的LCA框架。研究表明,目前尚缺乏全面的皮革化学品LCA数据库,这制约了皮革环境足迹(含碳足迹)的准确评估。根据皮革化学品的使用量及其环境影响,建议将其数据库建设划分为三个等级:Ⅰ级(鞣剂、加脂剂、涂饰剂)、Ⅱ级(表面活性剂、酶制剂、染料)和Ⅲ级(浸水助剂等皮革专用助剂)。基于ISO 14040、ISO 14044等标准,确定皮革化学品的研究范围应为“从摇篮到大门”的系统边界,涵盖化学品生产、包装和运输等全过程。研究为皮革化学品LCA数据库的建设提供了系统指导,有助于推动皮革行业碳足迹管理体系的建设。
图 文 导 读
图1 皮革生命周期清单的输入、输出示意图
图2 制革用化学品
表1 皮革化学品LCA研究案例(参考文献引用见原文)
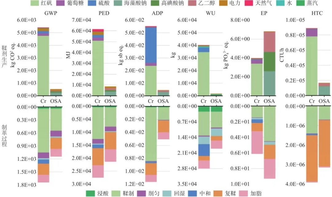
图3 Cr(a)和OSA(b)鞣剂生产过程的生命周期清单[21]
([21]ACS Sustain Chem Eng, 2021, 9(19): 6720−6731)
图4 Cr和OSA鞣剂的生命周期影响评价结果及其对制革过程的环境影响对比[21]
([21]ACS Sustain Chem Eng, 2021, 9(19): 6720−6731)
表2 制革用化学品在CLCD–0.9和Ecoinvent–3.1.0数据库中的收录情况1)
1)“_”表示该化学品在数据库中存在;A代表CLCD–0.9数据库;B代表Ecoinvent–3.1.0数据库。
表3 皮革化学品LCA数据库建设优先级分类表
图5 皮革化学品LCA框架
结 论
文章系统分析了国内外皮革化学品的LCA研究案例,结果表明,即使是同类别的不同皮革化学品,其环境影响也可能存在显著差异。因此,采用结构或性质相近的化学品进行替代的方案难以准确反映皮革化学品的实际环境影响。分析现有LCA数据库可以发现,皮革化学品领域缺乏系统性的数据库支持。尽管中国CLCD数据库在皮革化学品数据收录方面处于领先地位,但其数据仍需进一步扩展。
鉴于LCA研究对数据可靠性和地域代表性的严格要求,建立皮革化学品的本土LCA数据库对于准确核算我国皮革产品的环境足迹具有重要意义。根据皮革化学品的使用量及其潜在环境影响,建议在数据库建设时采用以下优先级顺序:Ⅰ级(鞣剂、加脂剂、涂饰剂)、Ⅱ级(表面活性剂、酶制剂、染料)和Ⅲ级(浸水助剂、浸灰助剂、脱灰剂、中和剂、杀菌剂等皮革专用助剂)。其中,Ⅰ级化学品在制革过程中用量大且对成革性能具有决定性作用,Ⅱ级化学品用量较小但不可或缺;Ⅲ级化学品用量小或能用其他化学品替代。
基于ISO 14040、ISO 14044、GB/T 24040和GB/T 24044等标准,皮革化学品的LCA框架应包括目标和范围的确定、生命周期清单分析、影响评价和解释四个核心部分。在目标和范围的确定阶段,需明确皮革化学品的基本信息和“从摇篮到大门”的系统边界;在生命周期影响评价阶段,需重点计算碳排放、资源消耗、生态质量和人体健康等关键影响类型参数。
文章为皮革化学品的LCA研究及相关数据库建设提供了科学依据和实践指导。